提问:你知道什么是硫化猪油吗?
答:我知道!是厨房里妈妈用搪瓷盆子装的淡黄色固状的猪油。

当然不是!

硫化猪油是一种生物UVCB (Unknown or Variable Composition, Complex Reaction Products or Biological Materials)——未知或可变成分、复杂反应产物或生物材料。
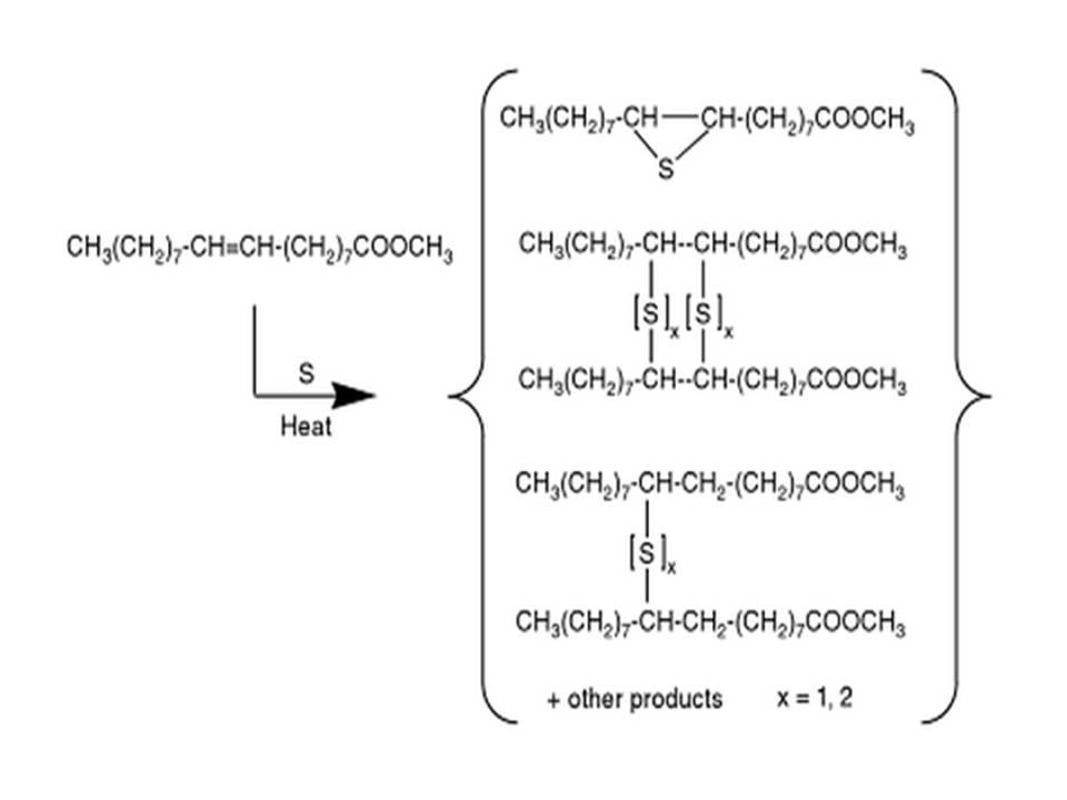
硫化猪油具有硫化甘油三酯的结构,而甘油三酯是由甘油和三种不饱和脂肪酸反应形成的酯,通常具有一个或多个碳-碳双键。与硫反应后,甘油三酯中的碳-碳双键形成硫键,硫键是硫化甘油三酯具有润滑性能的原因。

硫化猪油用于润滑剂和润滑脂中,应用于运输系统,例如飞机、轮船。同时硫化猪油也广泛用于轧制液、切削液作为润滑剂,是一种常见的润滑添加剂——非活性硫系极压剂。
硫系极压剂主要分为硫化猪油、硫化脂肪酸脂、硫化烯烃。
与其他硫化剂相比硫化猪油拥有良好的油溶性,油膜厚、粘附性好、无腐蚀性,适于重负荷加工条件,因而用于金属加工工艺和高端冲压、拉伸油中。
硫化脂肪酸酯对II类和III类加氢基础油的相容性略差,同时使用具有一定的局限性,例如不能与T202(硫磷丁辛基锌盐)、T203(硫磷双辛基碱性锌盐)抗氧抗腐剂使用,因为抗氧剂会分解硫剂。活性硫含量小于1%,对铜有一定的腐蚀性,适用于加工有色金属。
硫化烯烃主要有两类:分别为硫化异丁烯和硫化的长链烷基烯烃,硫化异烯烃颜色浅、油溶性好、极压性好,被广泛应用于各类齿轮油、液压油、润滑油脂中。但是硫化烯烃含硫量高,对金属腐蚀严重,抗磨性也较差,较少出现在金属加工液中。

硫化猪油可以在高温、高压等极端苛刻的条件下与摩擦副表面形成极压润滑膜。硫化猪油首先在金属表面发生极性吸附,形成物理流体吸附膜,通过对摩擦副的隔离起到流体润滑作用;随着载重负荷的增加,金属摩擦副之间温度也会随之升高,吸附膜开始变薄,但依然是流体润滑。随着载重进一步加大,加工区会升高到使流体润滑膜破裂的温度,摩擦副开始与金属表面直接接触。这时,有机硫化物开始与金属反应形成一层有抗磨能力的硫醇铁覆盖膜。并通过自身的某些化学反应生成的产物也可以形成类似的保护层。当载重继续加大时,工作区持续升温,有机硫化物的C-S 键开始断裂,形成低剪切性能的硫化铁固体膜,有效的阻绝金属直接接触,防止烧结现象。

硫系极压剂作用过程示意图
(a熔点合金生成;b扩展至缺陷处;c表面成膜)
参考文献:《轧制工艺润滑原理、技术与应用 》孙建林 2004
图片地址:
http://img4.hefei.cc/M01/7E/A6/rBEBYF0HCzqAWgjVAAHEYiIFzD8138.jpg

扫码下载APP
科普中国APP
科普中国
科普中国