甲状腺癌是甲状腺疾病中最受关注的一种,近年来它的发病率越来越高,我的一位女同事30出头就确诊并接受手术治疗。现在连保险行业都看不下去了,对重疾险政策进行了调整,以后很多甲状腺癌不作为重疾赔付甚至可能不赔付。不少人认为,可能是食盐加碘导致了甲癌高发。你怎么看?
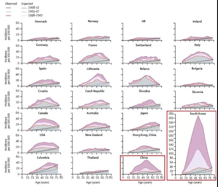
假设碘盐是甲状腺癌高发的元凶,那么盐吃的越多,甲状腺癌就应该越多。中国甲状腺癌发病率数据表明,城市发病率约为农村的3倍。但农村食盐摄入量高于城市,且农村人口的尿碘水平总体上高于城市,这就解释不通了。 发达国家应用碘盐的历史比较长,碘营养水平相对稳定,甲状腺癌发病率也应该稳定。但《Nature》的一项综合研究发现,1990-2013年,全球甲状腺癌发病率上升20%,高收入国家(33%)比低收入国家(19%)增长更多,这又说不通了。 国际癌症研究机构(IARC)研究了全球26个国家和地区1998-2012年甲状腺癌的数据,结果发现,无论高收入还是中低收入国家,甲状腺癌症的发病率都在上升,其中中国和韩国的增长最明显。中国的增长你可以甩锅给碘盐,可韩国呢?韩国没有强制加碘政策哦。 现在医学界越来越认识到,甲状腺疾病高发的原因,很可能与过度诊疗有关。比如韩国1999年开始实施全民癌症筛查,除了甲状腺超声检查,有时甚至将PET作为常规癌症筛查手段。结果1999-2010年,韩国甲状腺癌发生率每年增长24.2%,50-59岁妇女的甲状腺癌发病率猛增7倍,成为过度诊疗的反面典型。 IARC的研究人员经过测算认为,韩国约为93%的女性甲状腺癌是由于过度诊疗导致的。你别慌笑话韩国,中国这一比例为87%,此外白俄罗斯为91%,意大利和克罗地亚为84%,斯洛伐克和法国为83%。 你可以质疑这个测算的准确度,但中国甲状腺疾病发病率迅速增加是从2000年左右开始,当时也正好是大量引入甲状腺B超替代触诊的阶段。(同一时期甲状腺结节的发病率也上去了) 当然,过度诊疗不是导致全球甲状腺癌发病率上升的唯一原因,家族遗传、肥胖、核辐射等因素也不容忽视。现在不少官方诊疗指南和梅奥诊所等顶级医院的建议是,不要在无症状的个体中筛查甲状腺癌,可以重点筛查核辐射暴露、有家族史和碘缺乏人群。 此外,还有一些社会经济因素也在悄悄影响甲状腺疾病的发病率。比如2001年中国入世带来经济的腾飞,但同时也带来了房价、教育、养老等压力,要知道紧张和焦虑情绪也是甲状腺疾病的诱因。过去20年,城镇基本医保、新农合等政策陆续出台,让很多看不起病、不愿意看病的人走进了医院,也走进了统计数据。 如果看看世界地图,你会发现甲状腺癌高发的主要是发达国家。尽管非洲也推行食盐加碘政策,但非洲是甲状腺癌最少的地方。索马里已经碘过量了,但甲状腺癌依然非常少,你想去体验一下吗? 前面说了甲状腺癌高发的主要影响因素,那碘盐扮演了什么角色呢?目前的研究结果并不完全一致,缺碘和补碘似乎都有可能增加甲状腺癌概率。但总体而言,碘盐和甲状腺癌发病率之间并不存在明确相关性。 当然,补碘会导致甲状腺癌的病理类型分布发生变化——恶性程度较高的滤泡状癌占比下降,恶性程度较低的乳头状细胞癌占比上升。如果发病率不可阻挡的上升,降低恶性癌症的比例也是功德无量吧。 冷知识 甲状腺结节的患病率非常高,但实际上相当一部分人毫无察觉,也没有任何不良反应。海南的一项研究发现,874位百岁老人的甲状腺结节患病率达74.3%,你比这些老人健康吗? (网图侵删)

扫码下载APP
科普中国APP
科普中国
科普中国