伽罗瓦理论是现代数学的主要发端之一。当天才少年用自创理论解决了代数方程的悬案,人们才逐渐意识到数学结构本身所隐含的对称性和抽象关系竟然具有如此强大的威力。通过后继者对高阶抽象和逻辑结构关系的不断探索,如今数学大厦不仅纵向高耸入云而且横向相互支撑顺畅贯通。本文将带读者领略那发生在190年前的灵光闪现……
撰文 | 张和持
偶尔,当我被袁隆平院士喂得太饱的时候,会无聊地去想:若现代的知识穿越回古代,那将造成多么可怕的影响。那有可能是助诸葛亮北伐成功的100名火箭飞行兵,也可能是令赵国取胜长平之战的空降方便面。但要是真能穿越的话,希望不会把数学家送过去——等着他们的,可能是尼尔斯·阿贝尔和埃瓦里斯特·伽罗瓦的命运——他们二人的工作过于超前,以至于他们英年早逝十多年,后人才从尘封的论文中发现那惊人的价值。
Évariste Galois
在那个年代,数学家的工作主要还是围绕数字的。即使使用变量的代数,也是为了得到具体的数值结果。可想而知,即便是高斯那样的数学泰斗,面对伽罗瓦的满篇抽象符号,也打回了他的论文。据说伽罗瓦死前遭人暗算,不得不参加一场必死的决斗。生命和学术生涯即将在含苞中零落,绝望中的他奋笔疾书,在最后的时刻整理了自己的手稿,像海贼王一样把宝物留给了新的时代。
Niels Henrik Abel
今天的我们,处处享受着他们的成果。计算机离不开代数,物理化学也离不开群论。或许在肃然起敬之余,你会望而却步。其实大可不必,今番我们便来还原一个简洁又优美的伽罗瓦理论。
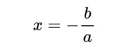
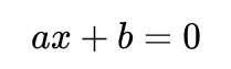
伽罗瓦和阿贝尔想解决的问题看起来很简单。小学我们学过一元一次方程
直接移项就可以得到
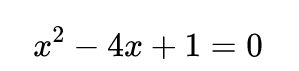
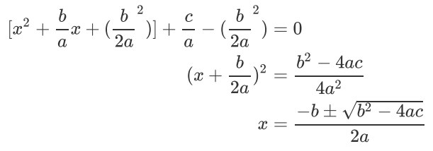
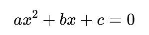
后来我们学了一元二次方程
凑平方法也可以容易地得到
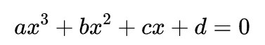
继续,一元三次方程呢?是否也能这么容易解出来呢?
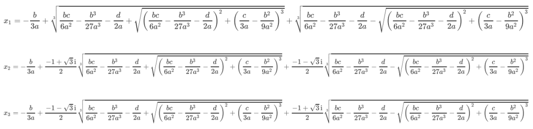
十六世纪的数学家尼科洛·塔尔塔利亚首先得到了通用的公式,我们就把它列出来看看有多复杂
对于方程
有三个根:
人类的智慧的确可怕。不久之后,四次方程的公式也被人们发现了。四次方程的解如此复杂,以至于一页纸都不一定能写的下,这不禁让人怀疑,数学是否成为了繁琐和不便的代名词。
这也鞭策着那些相信努力就会收获的数学家,找出五次方程的解而扬名立万。可是令人费解的是,无论做多么精巧的代换,无论尝试怎样复杂的分解,总有一些方程死活解不出来。到了拉格朗日这一代,大多数人已经确信,五次方程是无法以现有方法解出来的了。他们发现,五次方程与四次,三次,二次方程是如此的不同,以至于之前管用的方法全都失效了。不过直到阿贝尔和伽罗瓦为止,都没有人能为这种似是而非的论断给出清晰又严格的证明。
这就是我们的问题:为什么有理系数的一元五次方程不能通过有限次的加、减、乘、除、开根号得到一般解?
比如说方程
很容易求出它的两个解是
怎么才能证明扩张无法实现呢?目前我们还没有什么思路去直接证明,但阿贝尔和伽罗瓦迎难而上。他们不约而同地注意到,方程的根具有奇妙的对称性。一般来说,如果一个图形具有复杂的对称性,那图形本身也就较为复杂。这给了他们启示:根的对称性是否意味着域扩张的复杂性呢?果不其然,这种对称性揭示了域扩张与群的子群之间优美的对偶,使得我们可以通过研究群的可解性来回答方程解的性质。
还是回到之前的方程
另一种将群可视化的方法是凯莱图
图片受wikimedia 启发
A5的凯莱图
例如,把红色线连接的小五边形看做子群(这是个 阶循环群),如果它是正规的,那么从一个红色五边形出发的所有蓝色线段,都必须进入同一个陪集,也就是最邻近的另一个红色五边形。可惜这些蓝色线都进入了不同的红色五边形。
事实上,这种每个局部小多边形都尽量与其他小多边形连接的结构,会使整体结构非常稳定而坚固,对群除法这种结构拆解工作自然就不够友好。神奇的是,如果在上图中的每个圆圈处放一个碳原子,它们将组成稳定的足球形分子“巴基球”,这个名字来源于建筑学家巴克明斯特·富勒,此人建造了世界上最大的足球形建筑物。
富勒的作品
1999年,物理学家在奥地利的实验室中向双缝发射了“巴基球”的分子束,并观察到了干涉现象。这使得“巴基球”成为了人类实验能观测到双缝干涉的最大分子。
Buckminsterfullerene
再回到最初的问题。从以上的阐述,应该就能理解根式解不存在的原因了:根式的域扩张是有局限的。也就是说五次以上的方程其实并不是“无解”,只是根式扩张无法做到。那么是不是就应该有别的方法来进行域扩张呢?答案是肯定的。
注释
[1] Galois theory for non-mathematicians
[2] Emil Artin, Galois Theory

扫码下载APP
科普中国APP
科普中国
科普中国