从初中开始学习物理的时候,老师就经常用自行车举例。例如自行车的车轴是轮轴,轮胎上的花纹是为了增大摩擦,滚珠轴承是为了减小摩擦,在地面上运动时,自行车后轮受到向前的摩擦力,是动力;前轮受到向后的摩擦力,是阻力……今天我们也来讲一个跟自行车有关的物理问题
身份的象征
假如我们站在一旁用手扶着自行车,并且保持脚踏板在一上一下的位置。如果我用手向后拉动下方的脚踏板,请问自行车是向前走还是向后走?
我们通过这张图再解释一下问题:在地面上有一辆自行车,这辆自行车的轮胎非常粗糙,绝对不会和地面之间发生滑动。人不是骑在自行车上,而是站在一旁。现在,自行车的脚踏板一上一下放置,用力F向后(向左)拉动下面的脚踏板,此时轮胎就开始转动。请问这个时候,自行车在地面上是向前(向右)走?还是向后(向左)走?
如果我们简单一想,似乎两个答案都有可能。比如,下方的脚蹬子向后(向左)用力,所以两个踏板都应该正向(顺时针)运动,链条吃上劲,前轮后轮也都跟着顺时针运动,自行车自然向右运动了。不过,假如我们把自行车当作一个整体,给自行车一个向左的力,似乎自行车应该向左运动更合理才对。
那么实际情况到底是怎样的呢?大家不妨自己找一辆自行车尝试一下。下面是我对这个问题的理论解释,虽然我尽量让它看起来更通俗一些,但是这依然属于一个难度较大的问题,大家如果理解过程有困难,可以直接跳到最后的结果处。
大家看:脚踏板转动带动中轴,中轴通过链条带动后轴,后轴带动后轮,后轮与地面摩擦…本质上这是个圆周运动问题,我们先来回忆一下高中物理中怎么讲这部分知识的:
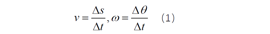
当一个物体在做圆周运动时,在一小段时间Δt内会有一段运动位移Δs,也会同时转过一个圆心角Δθ。我们把单位时间内转过的距离做线速度v,把单位时间内转过的角度叫做角速度ω。
比方说:地球赤道上有一个人,随着地球在24小时内转动了一圈,运动的距离就是赤道的周长——大约4万公里,时间是86400秒,于是他的运动速度就是465m/s左右。在这段时间内转过的圆心角是360度,用弧度制表示就是2π,于是他的角速度是7.3x10-5rad/s。
根据几何关系,线速度和角速度之间满足关系:线速v度等于角速度ω与半径R的乘积。
这个公式告诉我们:在同样的角速度下,半径越大的地方,线速度越大。比如,地球上所有点的角速度都是一样的,因为世界上任何一个地方的人,都用了24小时随着地球自转一圈。但是越靠近赤道,转动半径越大,线速度就越大。反过来越靠近两极,转动的半径越小,线速度就越小,如果站在两极,压根没有自转速度。
地球上不同地点一小时转动的角度和距离
毛主席说:坐地日行八万里,说的就是赤道地区。中国古代有个传说——夸父追日。如果夸父在赤道地区,需要达到465m/s的速度才能追上太阳,但是如果在南极或者北极,他压根不需要跑,只需要转脑袋,就能一直看到太阳了。
好吧基础知识就复习到这里了。现在我们开始正式解题。
我们首先把自行车的脚踏板、中轴、链条、后轴和后轮画出,并且设它们的转动半径分别是r1、r2、r3、r4,如果下方的脚踏板受到向后的力,那么脚踏板相对于地面,一定向后运动。这是因为外力必须做正功,才能让车运动起来。我们要计算的问题就是:当下方脚踏板向后运动时,车轴是顺时针运动还是逆时针运动?这也就直接决定了车的运动方向。
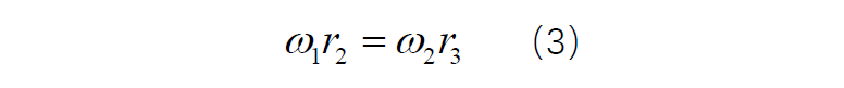
首先,假设中轴是顺时针运动的,并且角速度是ω1,那么后轴也一定是顺时针运动的,设角速度为ω2,两个轴靠着链条相连,所以它们的线速度是相等的。根据公式(2)可知:
若车轮顺时针转动,自行车必然向前(向右)运动,设速度为v,这个速度也等于自行车上所有不转动的轴心的速度。每一个转动点的速度都由两部分构成,一是跟着自行车一起向前运动的速度v,二是由于转动具有的线速度ωr。
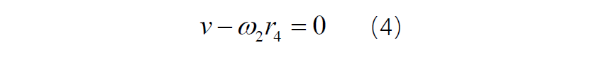
我们看后轮的着地点:它具有向前的平动速度v和向后的转动速度ω2r4。
由于它是着地点,与地面之间是相对静止的,地面没有动,因此着地点的速度也是零。得到公式:
再看下方脚踏板:它具有向前的速度v和向后的ω1r1
刚才我们说到:下方脚踏板受到向后的力,它的合速度向后。设这个速度叫做v1,那么有
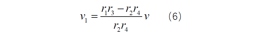
现在,我们把(3)(4)(5)式联立,约掉ω1和ω2,得到踏板速度v1和自4行车速度v的关系:
终于,我们可以进行讨论了!这个表达式中,脚踏板的速度v1方向一定与我们的假设相同,是向左(向后)的,所以v1>0; 但是由于右侧表达式中有减法,所以,车的速度v不一定和我们的假设(向右)一致,实际上:
当r1r3-r2r4>0时,v>0,这表示车的运动方向与我们假设的向右一致——向后拉动脚踏板,自行车前进。在踏板半径和车轮半径一定的情况下,中轴半径r2越小,后轴半径r3越大,越容易满足情况,这时我们自行车处于较低档位。
当r1r3-r2r4<0时,v<0,这表示车的运动方向与我们假设的向右相反——向后拉动脚踏板,自行车后退。在踏板半径和车轮半径一定的情况下,中轴半径r2越大,后轴半径r3越小,越容易满足情况,这时我们自行车处于较高档位。
当r1r3-r2r4=0时,无论如何(6)式都不可能满足,这表示在某个特殊情况下,我们不可能向后拉动脚踏板——如果力气太大了,车轮会在地面上滑动,但是不会出现滚动。
综上所述:当自行车处于较低档位的时候,向后拉动下方脚踏板,自行车会前进;而自行车处于较高档位的时候,向后拉动下方脚踏板,它会后退。也有个别情况,自行车会把自己锁住。我尝试了好几辆自行车,向后拉动脚踏板,自行车都是后退的,可能我的自行车都比较高档吧。
其实,大家还可以思考一个问题:如果踏板并非处于最低点,而是处于其他位置,当我们拉动脚踏板时,自行车的运动结果又是如何呢?先说明,不同的位置,结果是不一样的哦!
这个问题原本出自《200道物理学难题》,在上个学期末给同学上竞赛课的时候讲到,结果挂在了黑板上。后来,我请教了第四十八届国际物理奥林匹克竞赛金牌高昊阳同学,给出了完美的解答,在此特别表示感谢!
图为高昊阳同学在第48届国际物理奥林匹克竞赛颁奖典礼上
来源:李永乐老师

扫码下载APP
科普中国APP
科普中国
科普中国