不知道各位同学中有没有炒股的,前几天被私募冠军叶飞爆料的几只股票大跌,甚至多家股价跌停。
虽然股市不停地在牛熊之间转换,但是散户大多数都是赔钱的。关于炒股赔钱这件事,有人认为是自己智商不够,有人认为是自己运气不好。那么,在股市里有没有什么更深刻的数学内涵呢?
股市类似于一种零和游戏,每个人都希望别人赔钱,而自己赚钱。这就涉及一个数学过程:博弈。博弈的本意是下棋,现在引申为通过一定的策略,使自己的利益最大化。
博弈论最早是由计算机之父冯·诺依曼提出的,后来经过约翰·纳什等人发扬光大。博弈论不同于概率论,博弈论是指参与者可以主动调整自己的策略从而获得最大收益,它是现代数学的一个分支,在金融、政治、计算机等领域都有广泛应用。
冯·诺依曼
约翰·纳什
美女与男人的硬币游戏
为了理解博弈论,我们来举一个经典的例子,称为美女与男人的游戏。
有一个男人在酒吧里喝酒,一位美女走过来,对他说:我们玩个游戏吧。规则如下:
❶ 每个人手里各拿一个硬币,扣在桌子上(不让对方看到)。
❷ 两人同时把手拿开,看硬币的正反面。
❸ 如果硬币都是正面,那么美女给男人3块钱。如果都是反面,那么美女给男人1块钱。如果硬币是一正一反,男人给美女2块钱。
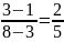
如果从概率论的角度来考虑,很容易感觉这是一个公平的游戏。因为如果两个人都是随机扣下硬币,那么两个都正面的概率为1/4,两个都反面概率为1/4,一正一反概率为1/2,那么男人收益情况如下:
按照概率来计算,一次游戏中,男人收益的数学期望就是:
也就是说:经过一次游戏,男人平均回报为零,既不赚钱,也不亏钱。
事实真的如此吗?
美女会采用什么策略?
在这个游戏中,男人和女人并不是抛硬币,而是自己选择出硬币正面还是反面。显然,男人和女人都不可能一直出正面或者一直出反面,因为这样会被对手摸出规律。但是他们依然可以在多次游戏中将自己出正面的频率设定在某个值附近,从而获得统计意义上的收益,这就使得游戏从一个概率问题,变成了一个博弈问题。
为了解决这个问题,我们假设男人出正面的频率为x,则男人出反面的概率为1-x;设女人出正面的频率为y,则女人出反面的频率为1-y。则各种情况出现的概率如表格所示。
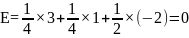
结合男人的收益表格和概率表格,男人的收益期望等于各种情况出现的概率与收益的乘积之和。
所以,男人在一次游戏后的数学期望是:
博弈双方对这个结果是有不同预期的。女人希望男人一直赔钱,所以希望男人的收益期望是负的。男人希望自己一直赢钱,所以希望自己的收益期望是正的。两人可以采用的策略就是调整自己出正面的频率、
,而这两个频率都在0到1之间。
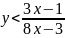
因为游戏是女人设计的,所以我们不妨从女人的角度考虑。女人希望调整自己的正面频率y,使得无论男人正面频率x为多大,不等式总是成立的。那么她能达到目的吗?
我们做一个移项,得到,这个不等式要分为三种情况:
🌓若,即
,则不等式变为
,显然这是永远成立的。
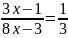
🌔若,即
,则不等式变形为
。要保证这个不等式一直成立,就需要
小于
的最小值。
画出的图像,我们会发现:
在和
两个范围内,函数都是单调递减的。
在时,函数单调递减,所以
=1时,
取得最小值,最小值为
。所以在
时,使不等式一直成立的解为
。
🌕若,即
,则由于变号原因,不等式变形为
。要保证这个不等式一直成立,就需要
大于
的最大值。根据图像,
越小,函数值越大,
=0时,函数取得最大值,即
。也就是说,当
时,
才能保证不等号永远成立。
综上所述:当y的取值在1/3到2/5之间时,无论x是多大,不等式都是成立的。也就是说,无论男人采取什么策略,只要女人把硬币出正面的频率控制在1/3到2/5之间,男人的期望都是负的,统计意义上男人一定会赔钱。
庄家是如何收割散户的?
美女和男人的游戏是不是很像股市?在股市中,庄家就好像美女一样,可以操纵股价上下翻飞,让你的心痒痒的。在庄家拉升股价时,我们做多,就可以盈利。庄家打压股价时,我们做空,也可以盈利。但是如果庄家做多我们做空,或者相反,就会亏损。在这样的规则下,每个人都觉得自己可能是个幸运儿,可以通过自己的运气或者策略获得正的收益。
但是事实上,庄家有比散户更强的控盘能力和模型计算能力,他们会采用一种更好的策略,使得散户无论采取什么方式炒股,统计意义上都会赔钱。当然,不排除有些散户的运气特别好,在一段时间内大赚了一笔。但即便如此,我们依然要说,在这样的规则下,长期炒股的散户,也会多数都赔钱。
来源:李永乐老师

扫码下载APP
科普中国APP
科普中国
科普中国