1990年2月14日,旅行者1号在距离地球64亿公里之外给地球拍了张照片。照片的名字叫“暗淡蓝点”,这张照片里的地球如同一粒尘埃。
故宫里有件文物叫金嵌珍珠天球仪,这件国宝展示了一种上帝视角,不是站在地球看星空,而是透过宇宙看星空。它的观测角度,比旅行者1号还要远很多很多。
视频来源:《国家宝藏》
我们站在地球上,晚上一抬头就会看到美丽的星星。除了太阳系内部的几颗行星外,大部分肉眼可见的星星都是其它星系的恒星。就像视频中所看到的天球仪上镶嵌的星星一样,这些恒星距离我们非常遥远,就算是跑得最快的光,到达我们也需要许多许多年的时间。那么,我们如何测量这些星球到地球的距离呢?
1、视差法和秒差距 /
测量恒星的距离,最基础的方法是三角视差法。
我们不妨先从一个简单的例子说起。假如有一棵树非常高,我们如何才能测量出这个树的高度呢?
首先我们观察数根和树梢,得出两个观察方向,并且测量它们的夹角。然后我们再测量出观察点和树之间的水平距离,根据三角形的知识,就可以求出树的高度。
三角视差法基本原理与之类似。由于地球绕着太阳旋转,一年中的不同时刻,从地球上观察某个遥远的星球,视线的方向是不同的,我们可以在冬天和夏天记录观察星球时的视线方向,并且测量两个方向的夹角。
恒星的视差和秒差距长
我们知道,一个圆周角为360度,每度又可以分为60角分,每分又可以分为60角秒,于是一角秒就等于1/1296000圆周,是一个非常小的角度。假如冬天和夏天观察同一颗恒星时,观测方向夹角为2角秒,那么恒星与地球的连线和恒星与太阳连线的夹角就约等于一角秒,此时我们就称恒星距离地球为一个秒差距(pc)。
我们再把日地距离写作一个天文单位ua,把太阳(S)地球(E)和该天体(D)画成一个三角形,根据三角形的关系可以计算出地球和天体之间的距离SD为一个秒差距,大约是1pc=206265ua,也就是接近于20万个天文单位。
根据这种方法,人们测量了距离地球最近的恒星——比邻星,它到地球的距离为1.3秒差距,大约相当于27万个天文单位,银河系中心到地球大约8000秒差距,大约相当于16亿个天文单位。
2、开普勒三定律 /
可是,为了测量出具体的数值,我们还必须测量一个天文单位,也就是地球到太阳的平均距离到底是多少。这个问题又是如何测量的呢?
也许有同学说:我们可以发射一束激光到太阳上,等它反射回来,再测量时间差。这种方法是不行的,因为日地距离太遥远了,我们发射的激光很难到达太阳。就算激光到达了太阳,反射光也会淹没在巨大的太阳辐射光中,没法分辨。
为了了解日地距离的测量方法,我们首先从一个天文学家——开普勒说起。
开普勒
开普勒是十七世纪德国的天文学家和数学家。当时普鲁士皇帝鲁道夫二世的御用天文学家是从丹麦来的第谷,而开普勒是第谷的助手。第谷死后,开普勒致力研究第谷留下的海量天文观测数据,写成了巨著《新天文学》。
在《新天文学》以及相关著作中,开普勒提出了著名的行星运动三大定律:
🌕1. 行星绕太阳做椭圆轨道运动,太阳在椭圆的一个焦点上;
🌕2. 行星与太阳的连线在相等时间内扫过相等的面积;
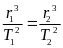
🌕3. 行星轨道半长轴三次方与周期二次方比值是常数;
通过开普勒的研究,人类第一次认识到行星运动轨道是椭圆,而不是圆,因此行星运动时存在“近日点”和“远日点”。地球的近日点是在每年的1月初,远日点是在每年的7月初。不过,地球轨道近日点和远日点与太阳的距离相差不大,地球的轨道还是接近于圆的。
开普勒第二定律是说:如果把行星与太阳做连线,并且经过一段固定的时间,无论行星在何处,这个连线会扫过相等的面积。自然,为了保证面积相等,任何一个星球在近日点处速度都快一些,而在远日点处速度都慢一些。
开普勒第三定律是说:太阳系的行星,轨道半径不同,从小到大依次是水星、金星、地球、火星、木星、土星等。它们的周期也各不相同,而且轨道半径小的周期也小,轨道半径大的周期也大。
为了简单起见,我们把行星轨道当成圆形处理。开普勒发现,如果行星的轨道半径三次方与周期平方做比,那么太阳系的几颗行星这个比值都是相同的。
开普勒是从大量的天文数据中通过拟合和猜想得到上述结论的,但是他并没有解释这是为什么。随后,科学巨匠牛顿受到开普勒三定律的启发,提出了万有引力定律,成功地解释了开普勒三定律的物理内涵。通过开普勒三定律,我们就可以测量日地距离了。
3、哈雷和金星凌日 /
1678年,年仅22岁的天文学家哈雷提出:可以通过金星凌日的办法测量日地距离。这个哈雷,就是著名的哈雷慧星的哈雷。
哈雷
我们知道,金星轨道比地球轨道小,称为“内地行星”。有时候,金星会经过地球和太阳的连线,称为“金星凌日”,此时在地球上观察,金星像一个黑点一样扫过太阳。
金星凌日
由于地球和金星围绕太阳公转的周期T1和T2可以通过观测得到,因此根据开普勒第三定律,地球轨道半径r1和金星轨道半径r2就满足方程:
(1)
而且,金星凌日时我们还可以通过三角测量法测量地球到金星的距离。我们可以把这个原理简化如下:
在地球上两个地点A和B分别观测金星,通过测量金星方向与垂直地面方向的夹角α和β以及AB两点对应的地心角γ,再加上人们已经知道的地球半径R,就可以通过几何方法计算出金星到地球的距离d。而这个距离刚好就是地球轨道半径与金星轨道半径之差。
(2)
联立这两个方程(1)和(2),就可以得到日地距离,也就是地球的轨道半径r1,这就是一个天文单位ua。
遗憾的是:由于金星与地球的轨道并不完全重合,金星凌日的周期比较复杂。金星凌日的时间间隔分别是8年、105.5年、8年、121.5年,每243年循环一次。也就是说,有的人一生中会遇见两次金星凌日,有的人一生中一次都没有。
哈雷提出这种测量方法后,下一次金星凌日是在83年之后,哈雷知道自己无法亲眼见证这个时刻了,但是人们一直在等待这个时刻。
1761年,人类第一次使用金星凌日测量日地距离,但是很遗憾,没有获得很好的数据。经过精心的准备,8年之后的1769年,英国的科学家在库克船长的带领下,去太平洋上测量金星凌日。当时英法七年战争刚刚结束,英法还处于对峙状态,法国政府特地要求海军不能攻击库克船长的船队。
在当时,航海是一件非常艰苦的事,库克的船在经过了八个月的航行之后,终于到达了目的地——塔希提岛。此时已经有5名船员病死,还有1名船员受不了压力而跳海自杀。1769年6月3日,科学家们终于如愿以偿地观测到了金星凌日。
1771年,法国天文学家拉朗德(Lalande)根据这次珍贵的观测资料,首次算出了地球与太阳间的距离大约为1.5亿公里,并命名为一个天文单位ua。人们根据这个数字,推算出了各种天体到地球的距离。
在我们教科书上一个简单的数字,都是要经历一代又一代科学家数百年的努力才能得到的。我们不得不惊叹于科学的伟大和科学家们孜孜以求的精神。

扫码下载APP
科普中国APP
科普中国
科普中国