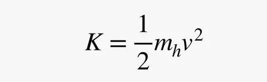
作为人类的好朋友,鸡在我们的餐桌上意义重大。怎么做鸡也是一门学问,emmmm,我是说怎么“做”鸡。常见的做法有油炸、煨汤、烧烤……这些你可能都见识过了,但你想过怎么通过朝一只鸡扇巴掌来把它弄熟吗? 2019年情人节那天,有个叫“水生植物先生”(MrWaterplant)的id,在reddit论坛上就提了这么一个问题——“既然动能可以转化为热能,那么我能通过朝一只鸡扇巴掌来把它弄熟吗?” 看到这种提问,你很自然地会升起疑问,朋友你为什么要在情人节思考这种问题?你到底跟鸡有多大仇?以及,这种事情真的可能吗? 说起来,这个看上去很像段子的问题其实是道不错的物理学题目。 此前网上也有过一些类似的疑问,比如兰德尔·门罗创作的网络漫画xkcd回答过“牛排从多高的地方掉下来,能在掉到地面时正好被烤熟?”算出来的结果是,250千米处可能是最佳高度,能得到一块半生不熟的牛排。低于250千米,牛排更生。高于250千米,会进入弹道导弹的“剥蚀区”,牛排会被烤焦并解体。 类似的问题还有“一只冷冻火鸡从多高的地方掉下来,能在掉到地面时正好被烤熟?”这个问题我恰好在2010年时计算过,结论是14.2千米的高度或许就能行。 你可以看到这两个结果差得挺远,但估算本来就有误差嘛。无论如何,让我们来研究研究这个掌掴鸡肉的物理学问题。 烹饪就是加热 比如你想烹饪一只鸡,你可以把它烤熟、炸熟、煮熟,还可以用微波炉把它弄熟。重点是你要把这只鸡从室温加热到74摄氏度。 把鸡弄熟有两个好处。第一,熟的肉类更方便人类消化,我们从熟肉中摄取的卡路里也比生肉多。第二,在74摄氏度上,鸡身上的有害细菌多半都被杀死了。所以说,别吃生鸡。 虽然弄熟的鸡不光是温度较高的生鸡肉,但我还是假定它就是吧。烹饪对鸡造成的变化不仅是改变了它的温度,但这一点我们也暂且忽略不计。我们关心的问题,是需要多少能量才能改变鸡的温度?要回答这个问题,我们来看看热能的改变。 热能的多少不仅取决于温度的变化,还要看物体的质量和类型。写成公式就是这样的:热能变化=质量×比热容×温度变化。 在这条公式中,ΔT指的是温度的变化,C是比热容。 “比热容”C是个什么东西?我举一个例子来说明:假设我要加热相同质量的钢材和泡沫塑料。钢材和泡沫塑料的原始温度相同,但加热钢材需要更多能量,因为钢的比热容是0.49 J/(g•°C)——这个单位读作焦耳每克摄氏度,而泡沫塑料的比热容只有0.3 J/(g•°C)。 那鸡又怎么样呢?一只鸡的比热容是多少?这个数值我不知道,只能靠猜,就用水的数值4.186J/(g•°C)代替吧(水的比热容是很高的)。或者我也可以用一种和鸡类似的东西。用火鸡怎么样?火鸡和鸡差不多对吧?我正巧也测量过火鸡的比热容。 下面是测定火鸡比热容的方法: 取火鸡一只(事先要知道它的质量和初始温度) 把它和一些热水放进一只隔热的盒子里。 过一段时间测量水和火鸡的温度。 因为我知道水的比热容,所以可以用水温降低了多少来算出火鸡热能的增加。下面是一张变温曲线图(证明我真的算过)。 我从计算中得出火鸡的比热容是6.018J/(g•°C)。没想到它居然比水还高。 能量守恒:从巴掌到热能 假设鸡和火鸡相似,我就能算出把鸡弄熟所需的热能变化了。可这些热能又从哪里来呢?没错,从一只手掌的拍打中来。 那么一记掌掴能提供多少能量?假设你手掌的质量是mh,手掌移动的速度是v,那么一记掌掴的动能K就是: 当手掌击中鸡身时,手掌就会停下。这时它的动能为零,所以它之前的动能一定去了什么地方。这些动能大概有大部分都变成了鸡肉增加的热能——以及手掌增加的热能!也就是说,要把火鸡弄熟,你也得把自己的手掌一并弄熟。不过我们暂时不要担心手掌,只要估计它的能量有一半进入了鸡身,一半留在了手掌就行了。 所以到底要拍多少下? 打得足够多的话,这只鸡不但会死,而且会熟 | knowyourmeme.com 主要概念已经有了,现在只欠计算。 我们先来设定几个初始的假设: → 鸡的质量=2千克。你在店里买到一整只生鸡大概就这么重。别担心,如果你不喜欢这个数字,你可以在下面自己改掉。 → 初始温度=23摄氏度,目标温度=74摄氏度。 → 手掌的质量=200克(此处纯属瞎猜)。 → 掌掴的速度=3米每秒怎么样?还是加快一点,算它5米每秒吧。 → 能量系数=0.5。这是掌掴产生的能量进入鸡身的比例。我用符号“f”来表示。现在我可以计算鸡在一次掌掴后的温度变化了。 每巴掌造成的升温 = 1.03855×10-4摄氏度 需要的巴掌数 = 4.91069×105 这说的是,你要拍打49000下才能把鸡拍熟,前提是拍打的速度要很快。 假如你一秒拍一巴掌,连续打上13小时37分钟,鸡就差不多熟了。(记得采取一些措施给你的手掌降温,毕竟手掌熟了可不太好。) 但如果把热辐射也进算在内的话,拍打中损失的能量要用斯特潘-玻尔兹曼公式计算。物理学就是这么麻烦(但很有趣)。 也许你不同意我的假设。你可以随意改变数值并重新计算。是的,数值是可以变的,没什么大不了。 比如说,脸书网上的Parker Ormonde就把人的手掌质量估算为400克,巴掌的速度估算为11米每秒。他算出来的结果就是,普通的巴掌扇23034下就差不多了。如果要一巴掌扇熟的话,巴掌速度要达到1665.65米/秒。 我这秒速1.6千米的一巴掌下去,你可能会熟 | knowyourmeme.com 解决了徒手煮鸡难题后,现在只剩下三个未解之谜—— 人类手掌的质量到底是多少?欢迎测定,但别搞出不好的事情。 网友们到底有多喜欢“非常规烹饪法”? 物理学家们到底有多闲? 作者:Rhett Allain 翻译:红猪 编辑:游识猷 题图来自youtube/Jixcx 编译来源:Rhett Allain. (2019). How Many Times Do You Have to Slap a Chicken to Cook It? https://www.wired.com/story/how-many-times-do-you-have-to-slap-a-chicken-to-cook-it/Slaps Chicken at 3275.95 MPH. (2019). https://knowyourmeme.com/memes/slaps-chicken-at-327595-mph






扫码下载APP
科普中国APP
科普中国
科普中国