你们知道世界上最快的球类运动是什么吗?是棒球、高尔夫球,还是足球、网球、乒乓球?其实都不是。有记录的网球的最高时速大约是253km,棒球的最高时速大约是169km。而在2017年1月的一场印度羽超联赛的比赛中,丹麦双打名将马德斯·皮勒尔·科尔丁一记杀球时速高达426km,甚至比F1赛车还要快——目前还没有任何一名车手可以在赛道上跑出400公里的时速。
一、羽毛球的速度
羽毛球名将李宗伟扣杀速度经常超过300km/h,他就表演过用羽毛球开西瓜。被这种羽毛球打了肯定很不好受。
羽毛球能够成为“球速之王”,一来是因为羽毛球拍比较长,可以挥出比较大的速度,二来是因为羽毛球很轻,质量只有4.74-5.5g。根据牛顿第二定律,力等于质量乘以加速度,如果施以同样大的力,质量小的物体就会获得更大的加速度,更容易加速起来。
二、羽毛球受到的阻力
速度很快的同时,羽毛球的速度衰减也很快,这是因为羽毛球会受到比较大的空气阻力,这和它特殊的形状有关。
羽毛球虽然叫做 “球”,但是和乒乓球、网球不同,它并不是球形的,而是整体呈现出一个类似“圆锥”的形状,由16根羽毛插在半球状的软木托上构成的,整体迎风面积比较大。在飞行过程中,羽毛球受到的迎面阻力和速度平方成正比,也和羽毛球迎风的面积成正比,速度很大时,迎面阻力就很大。
羽毛球受空气的迎面阻力
此外,羽毛球的尾部会产生空气涡流,前后气压强不同,这也会造成阻力,叫做涡流阻力。所以羽毛球初速比较快,速度衰减也比较快。
羽毛球后的漩涡尾流区
三、为什么总是球托向前?
我们平时在看球和打球时会观察到,羽毛球在离开对手的球拍后在空气中飞行时,总是球托冲前向我们飞来,而不是喇叭口,这又如何解释呢?
羽毛球的质心更靠近球托,而空气阻力的作用点更靠近“喇叭口”,二者不重合。羽毛球向前飞时,阻力会产生一个力矩,让羽毛球的姿势轴线变得与运动速度方向平行,这种特殊的结构能让羽毛球的飞行方向可控。
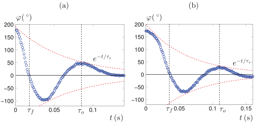
还有人用高速摄影机记录下球拍打击羽毛球后的阶段,你会发现:羽毛球被球拍击打之后,在阻力的作用下会经历了一段“来回摆动”的过程,最终轴线和速度方向平行,球托就朝着我们飞过来了。
甚至于,我们还可以画出羽毛球轴线的角度随着时间的变化关系,你会发现,在0.1秒左右的时间里,羽毛球的轴线角度就会变成0度,表示轴线和速度方向平行。
四、羽毛会蓬起还是收缩?
还有,你觉得羽毛球在飞行过程中,羽毛会向外蓬起还是会向内收缩呢?你仔细观察羽毛球,就会发现每一根羽毛球是倾斜的,所以羽毛球在飞行过程中,也会发生旋转,有点类似于子弹的旋转,具有一点陀螺效应。但是,由于羽毛非常轻,这种陀螺效应不明显,陀螺效应不是控制羽毛球方向的主要因素。由于旋转,羽毛是有离心的趋势的。
不过于此同时,由于外部空气阻力的影响,羽毛又有向内收缩的趋势,而且这个效果更加明显,所以羽毛球飞行时,羽毛还是略向内收缩的。小小的羽毛球,有这么多说道,没想到吧!
五、羽毛球的历史
羽毛球起源于羽板球,有2000多年的历史。
现代羽毛球起源于英国,在1972年和1988年列为奥运会的表演项目,从1992年开始逐步变为正式比赛项目。本次中国代表团羽毛球队的王懿律、黄东萍和陈雨菲接连斩获混双和女单金牌,恭喜中国羽毛球队!
END
2020东京奥运会专题
本期节目由中央纪委国家监委网站特约制作
来源:李永乐老师

扫码下载APP
科普中国APP
科普中国
科普中国