科幻大片中
常常会有光速甚至超光速
运动的飞船
那么,问题来了
当一个人被逐渐加速到光速时
他看到的世界
会发生怎样的变化呢?
1
Q
为什么汽油可以洗去衣服上的油污?
by 在学溶液的初三狗
A
这就要用到化学中的“相似相溶原理”:极性分子组成的溶质易溶于极性分子组成的溶剂,难溶于非极性分子组成的溶剂;非极性分子组成的溶质易溶于非极性分子组成的溶剂,难溶于极性分子组成的溶剂。衣服上的油污是含有长链烷基的有机物,容易溶解在由烷烃构成的汽油中,从而将衣服上的油污洗去。同样,干洗店中用四氯化碳洗涤衣物也是用了相似相溶原理,血液、奶渍、油污这些水洗难以清理的污渍,都属于脂溶性物质,可以溶解在四氯化碳中。而家庭中的水洗则是利用表面活性剂的乳化作用将脂溶性物质除去。
By 重光
2
Q
水宝宝会长大而且还会生宝宝是什么原理?
by 匿名
A
水宝宝的主要成分其实是聚丙烯酸钠,它的结构式如下图所示:
聚丙烯酸钠 | 来源:Wikipedia
聚丙烯酸钠遇水会发生电离,形成带正电的钠离子和带负电的聚合物离子,交联的聚合物网状结构会锁住钠离子,使得聚合物中的渗透压比较大。在渗透压的作用下,大量的水进入聚合物网状结构中,聚合物和水分子通过氢键的作用结合在一起,使得聚合物膨胀。聚丙烯酸钠的吸水能力和膨胀能力与交联类型和交联度有关。
聚丙烯酸钠的这个特点使得它被用于尿不湿,水晶土(培养植物用的)中,用来吸水、保湿。前面提到了,聚丙烯酸钠吸水依赖于渗透压,如果把聚丙烯酸钠放到盐水中那么它就吸不了那么多水了(浓度差没那么大了)。
至于水宝宝长大了为什么会生宝宝,这其实是水宝宝在生产过程中不是很均匀,有的水宝宝内部有更小的水宝宝颗粒。所以当水宝宝吸水胀大挤压里面的颗粒,颗粒就会从原本的水宝宝里面脱离出来,让人误以为是水宝宝生出了小宝宝。
By 重光
3
Q
为什么光照在镜子上会镜面反射呢?
by 匿名
A
为什么必须照镜子而不是照石头或者照窗户呢?来看看镜子的特别之处呢?
首先,镜子十分平整,使得能够发生宏观上的的镜面反射。众所周知,反射有所谓镜面反射和漫反射两种,其中漫反射可以大致理解为在不平整的表面上发生的向不同方向的镜面反射。
这是十分容易理解的,也就解释了为什么不能“照石头”了(想格物致知的除外)。那么要多平整才可以算作镜面反射呢?这个问题是相对的。首先,这与光的波长有关,就像人认为一片草坪十分平整,但一只蚂蚁可能就觉得是喜马拉雅。其次,没有真正“平”的面(水滴不算),真实生活中的“镜面反射”其实也只是“镜面反射”成分较多的漫反射罢了,比如用手电筒照镜子,即使眼睛不在手电筒光的方向,也可以看到光,说明含有漫反射成分。具体可以参考:粗糙平面的镜面反射。
最后,为什么镜子的反射率如此之高,而普通的窗户就不行呢。实际上这是由于镜子不只是玻璃,玻璃之下其实镀了一层金属膜,实际的反射大多是由于这层金属膜。至于为什么金属膜反射率较大,可以用电磁学的边值关系解释,即所谓菲涅尔公式。也可以有一种简单的理解。光到达界面之后,有几种去处,一是反射,二是透射(折射),三是被吸收。而对于金属,吸收较少,同时由于静电屏蔽,其内部无法存在(低频的)电场,可见光这种频率较低的电磁波也就无法在其内部传播。因此大多的光都被反射了。而由于窗户没有“氪金”,“照窗户”实际上就只能眺望远方而已。
通过以上几个方面的解释,以后就可以安心照镜子啦。(啊,痘痘!)
By Colliding Paul
4
Q
干冰放在500℃的沙子里,沙子为什么会震动?
by 匿名
A
简而言之,干冰遇热升华,快速释放二氧化碳气体,推动沙雕沙子,沙子在气流的作用下升起又降落又升起又降落又升起又降落(禁止“禁止套娃”套娃)产生震动的效果。
Warning:由于场面过于刺激,好熊孩子们请勿尝试🧐
干冰沸点低,在常温下就会升华,不难脑补干冰在常温水中释放二氧化碳气体营造的“沸腾”假象。不过沙子毕竟不是水,水的密度大约为1g/cm3,而一般干沙子主要成份是二氧化硅,二氧化硅的密度是2.65g/cm3,又由于沙子之间存在空隙,实际密度比这个密度要小,大约在2g/cm3,那么相同的气体产生速率的情况下,粗略地讲,沙子更重,更难推动,达到“沸腾”的效果。
认真读题,发现还有一个重要的条件,将沙子加热至500℃,小伙伴们应该会地有这样一种概念:两个物体温度差越大,传递热量的速率越快。
法国著名科学家傅立叶在1822年提出了一条热力学定律,该定律指出:在导热过程中,单位时间内通过给定截面的导热量,正比于垂直于该截面方向上的温度变化率和截面面积。
那末,利用500℃的沙子,单位时间从沙子向干冰的热传导速率将会更快(至少与常温下的沙子比起来是这样的,500℃的沙子和常温的水还需要进一步的导热系数比较),单位时间干冰升华产生气体的速率够快,而产生气体速率达到一定值时,便足以推动沙粒,将其吹向空中,此后落下,如此往复,便产生了“沸腾”般的震动效果。
By Desperado
5
Q
一个光速运动的人,他看到的光也以光速运动,那他看后方的光呢?
by 六维生物
A
由于目前世界上并没有以光速运动的人,本着科学严谨的态度,让我们尝试把地球上的某个人加速到光速,背着太阳发射出去,看看会发生什么现象。
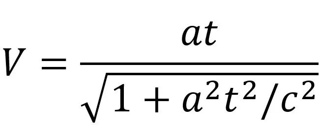
除了刚开始发射时巨大推力造成的不适之外,太空之旅最初并没有什么异样。由于飞船动力充沛,甚至如果假设飞船在自身瞬时静止参考系中一直以稳定的大约一个重力加速度(10 m/s2)加速,那么连太空失重都不会产生。
在飞船相对自身瞬时静止参考系加速度为a时,飞船相对于地球上观察者的速度v与时间t的关系是:
,
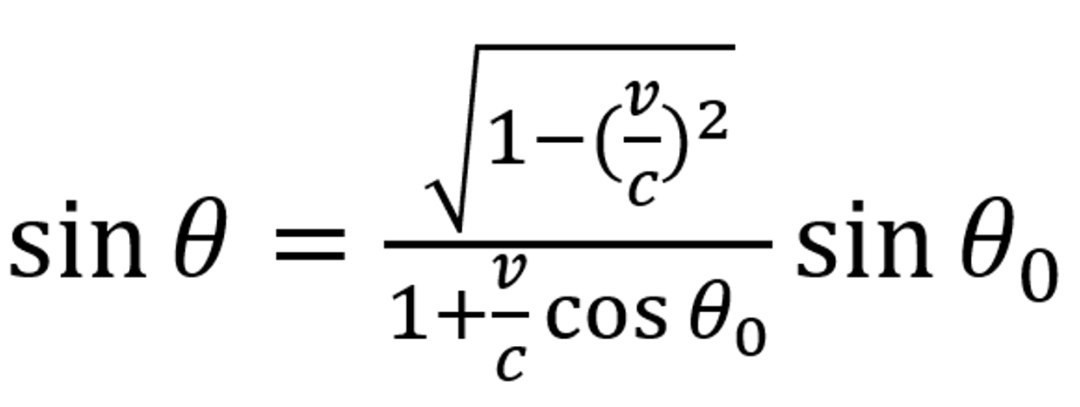
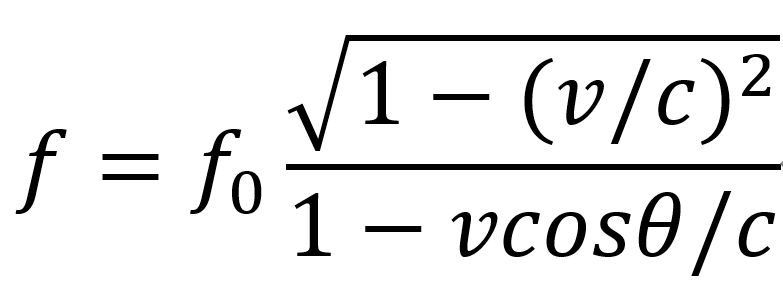
所以在大约200天之后,飞船的速度将会达到0.5倍光速。此时,第一个相对论性的光学效应已经十分明显了,那就是光的多普勒效应。星体发出的光波的频率f0与飞船接收到的频率f随光源与飞船相对速度v与相对角度θ的关系是:
,
位于飞船前方的天体发出的光频率增大,颜色逐渐偏蓝偏紫(也就是“蓝移”),位于飞船后方的天体发出的光频率减小,颜色逐渐偏红(“红移”)。
与此同时,第二个相对论性的光学效应也逐渐显现,那就是相对论性光行差效应。由于飞船相对天体高速运动,飞船接收到的天体光线方向会与地面参考系中方向产生偏差。观察到的光线方向与飞船速度的夹角θ与地面参考系观测到的夹角θ0和飞船速度v的关系是:
,
可以看出θ将随飞船速度v的增加而不断减小,所以观察到的星空并不是均匀的,而是在正对飞船速度的方向上更为密集,而相反方向更为稀疏。
随着飞船速度的不断增加,上述两种效应将会愈发明显。所以一个无限趋近于光速运动的人,在地面参考系观察到处于他后方的天体,只要不是正后方(θ0=180°),在飞船参考系中最终都会因为光行差效应而到飞船前方来,也就是在一个接近光速的人观察到的星空,是正前方一小块区域内密集排布许多天体,产生极其亮眼的光,而后方的天空几乎空无一物;而对于恰好处在正后方的星体发出的光,将会因为多普勒效应,频率逐渐降低,最终从可见光变为红外线,从观察者的视野中消失。
By 书蠹诗魔
6
Q
为什么有的干毛帕不吸水,只要把他湿润一点之后就很吸水了?
by 小叶
A
在解答这个问题之前要先表扬一下爱做家务的题主,事实证明学物理有助做家务(狗头)
言归正传,我们先来明确为什么一般用湿毛巾吸水。湿毛巾里分布着很多很多纤维,相当于一个个毛细管。而对于这些纤维来说,水是一种浸润液体,也就是说水倾向于附着在纤维上,使得水和纤维的接触面积有所扩展,加上纤维非常细,水就会在毛细管中不断升高,就造成了湿毛巾容易吸水的现象。
那为何同样拥有大量毛细管的干毛巾,对水却没有这么大的吸引力呢?这是由于水的另外一个性质:表面张力。其实水的表面张力对我们来说并不陌生,比如蜉蝣仿佛浮在一层水膜上,再比如加了肥皂的水更容易吹出泡泡。对于干毛巾来说,还没与它接触过的水容易在表面张力的作用下形成界面,从而阻止水的渗入。湿毛巾本来就有水的存在,因此比干毛巾更容易吸水。
除此之外,大家不妨尝试一下把水换成其他液体,或者看看能不能自己设计一个“毛细管”,说不定会发现一个新天地哟~
By 王大晴
7
Q
为什么并联分电流的时候,电子会知道怎么分呢?在节点的电子应该不知道支路的电阻是多少才对?
by sylvia
A
中学老师会讲“电流是电子的定向运动”,好像电子像快递员一样,知道自己要把电能送到哪里去。但实际上,电子不知道也不关心自己要去哪条支路,它只是么得感情地沿着自己所在位置的电场运动。想象你(电子)去陌生的剧场参加一场数万人的大型演唱会。你可能根本不认识路,也不知道自己在哪。但是只要你跟着无处不在的指引员(电场)的指示走,就一定能正确入场。即使有极少的电子走错了,电子数量的改变也会立刻反映到电场强度上。电场就会让后面的电子补偿掉错误。
那么电场又是怎么知道各个支路的情况的呢?这是因为电场有特殊的“通信手段”,他能根据麦克斯韦方程组与相邻的电场“通信”。如果某一点电场发生了改变,这种改变会光速传播到整个电路,使电场总是满足麦克斯韦方程组的要求。
当然,在开关刚刚闭合,电场才传播到支路分叉的时候,他也不能知道前方的情况。但是由于电场(电磁波)传递的速度是光速,电场很快就能传遍整个电路并达到平衡。在一般的电路分析中我们不需要考虑电场传递的时间,因此看上去好像电场提前知道了一切。
顺便提一下电路中自由电子的速度。一般电路中,电子的定向运动速度大约是10-5 m/s,比蜗牛还要慢几十倍。如果真的是电子把电能送到元件,那我们晚上按下灯开关,怕是到天亮灯才能亮。而电子随机热运动的速度大约是105 m/s,比一般的宇宙飞船还要快。所以具体到每一个电子是根本无法预测它会走哪条支路的。我们所说的并联分电流是大量电子运动的统计结果。
By 萌萌的托卡马克
本期答题团队:
物理所 重光
清华大学 书蠹诗魔、萌萌的托卡马克、
王大晴、Desperado、Colliding Paul
欢迎大佬们,鼓爪👏
来源:中科院物理所

扫码下载APP
科普中国APP
科普中国
科普中国